Ex 14 1 2 Vi Factorise 5 X 2 Y 15 Xy 2 Chapter 14 Class 8
Solution Steps 2 ( x y ) ^ { 2 } 5 ( x y ) 3 = 2 ( x y) 2 5 ( x y) 3 = Use binomial theorem \left (ab\right)^ {2}=a^ {2}2abb^ {2} to expand \left (xy\right)^ {2} Use binomialFactorise the following expression 5x^2 y 15xy^2 Get the answer to this question and access a vast question bank that is tailored for students Login Study Materials Factors of 15xy 2 15xy 2 = 3 × 5 × x × y × y The common factor of 5x 2 y – 15xy 2 are 5, x and y 5x 2 y
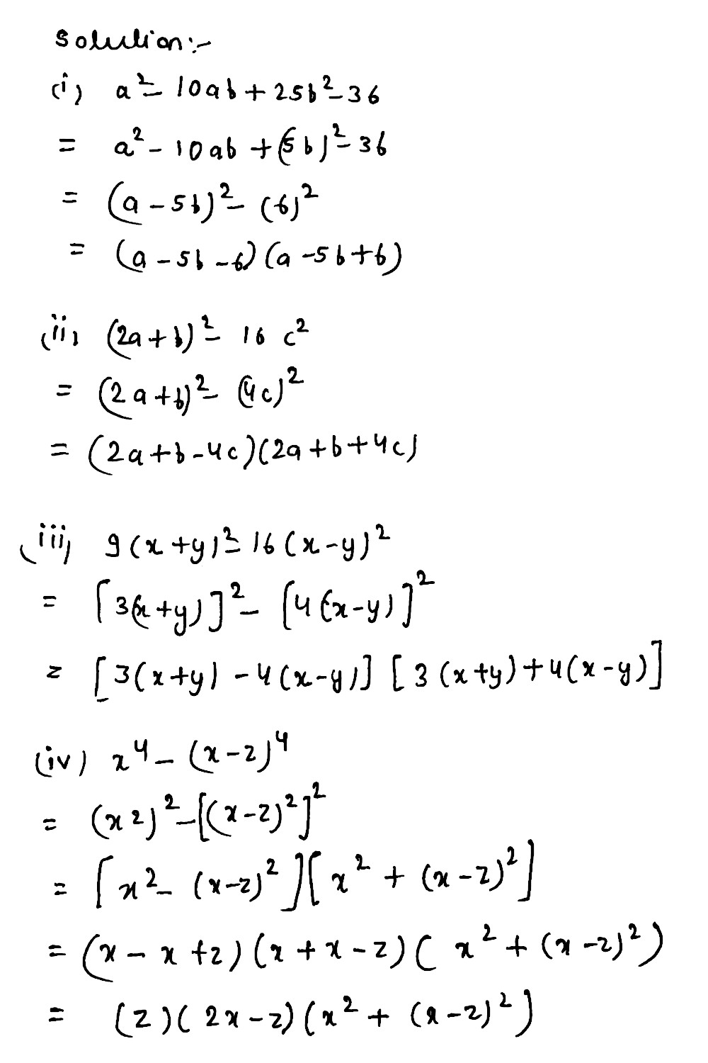
Factorise 3(x+y)^2-5(x+y)+2
Factorise 3(x+y)^2-5(x+y)+2- Find an answer to your question Factorise 3(xy)^2 5(xy) 2 biltronz biltronz Mathematics High School answered Factorise 3(xy)^2 5(xy) 2 2 See answersLet (xy)=p, then the expression 2(xy) 2−9(xy)−5 becomes 2p 2−9p−5Consider the expression 2p 2−9p−5 we can factorise it as follows2p 2−9p−5=2p
1 7 Factorisation Algebraic Expressions Siyavula
21 hours ago Example of "AC" method a b c 1 6x² 7x 2 2Factoring, we have 3 ( 5)( 2) 0 3 3 9 2 30 x x x x x x which has solutions x = −2, 0, 5 Example 5 Not all equations factor so easily Consider x3 x2 4x 2 0 While it is not obvious if this factors and the quadratic formula is of no use (yet), it is easy to see that x = 1 is a solution of this(ii) Let p(x) = x 3 3x 2 9x 5 We shall find a factor of p(y) by using some trial value of y, say x = 1 p(1) = (1) 3 3(1) 2 9(1) 5 = 1 3 9 5 = 9 9 = 0 Since the remainder of p(1) = 0 , by factor theorem we can say x 1 is a factor ofp(x) = x 3 3x 2 9x 5 Now dividing p(x) by x 1 using long division Hence factorise 3(x2y) 2 5(x2y)2 Share with your friends Share 2 3 x 2 y 2 5
A perfect square trinomial is a polynomial of three terms that can be directly factored into a squared quantity The formulas for factoring perfect square trinomials are given as x2 2ax a2 = (xClass 10 JEE/NEET T24 Agni (Integrated) Class 10 Test Series;Factorise the given question 1 3x2y^2 5x2y2 Dear student Question is wrong Please check and repost this You can qlso attach an image I will be hap
Factorise 3(x+y)^2-5(x+y)+2のギャラリー
各画像をクリックすると、ダウンロードまたは拡大表示できます
![]() Factorising Single Brackets Gcse Maths Steps Examples Worksheet | ![]() Factorising Single Brackets Gcse Maths Steps Examples Worksheet | Factorising Single Brackets Gcse Maths Steps Examples Worksheet |
![]() Factorising Single Brackets Gcse Maths Steps Examples Worksheet | Factorising Single Brackets Gcse Maths Steps Examples Worksheet | ![]() Factorising Single Brackets Gcse Maths Steps Examples Worksheet |
![]() Factorising Single Brackets Gcse Maths Steps Examples Worksheet | ![]() Factorising Single Brackets Gcse Maths Steps Examples Worksheet | Factorising Single Brackets Gcse Maths Steps Examples Worksheet |
「Factorise 3(x+y)^2-5(x+y)+2」の画像ギャラリー、詳細は各画像をクリックしてください。
![]() Factorising Single Brackets Gcse Maths Steps Examples Worksheet | Factorising Single Brackets Gcse Maths Steps Examples Worksheet | ![]() Factorising Single Brackets Gcse Maths Steps Examples Worksheet |
![]() Factorising Single Brackets Gcse Maths Steps Examples Worksheet | Factorising Single Brackets Gcse Maths Steps Examples Worksheet | Factorising Single Brackets Gcse Maths Steps Examples Worksheet |
![]() Factorising Single Brackets Gcse Maths Steps Examples Worksheet | ![]() Factorising Single Brackets Gcse Maths Steps Examples Worksheet | ![]() Factorising Single Brackets Gcse Maths Steps Examples Worksheet |
「Factorise 3(x+y)^2-5(x+y)+2」の画像ギャラリー、詳細は各画像をクリックしてください。
![]() Factorising Single Brackets Gcse Maths Steps Examples Worksheet | ![]() Factorising Single Brackets Gcse Maths Steps Examples Worksheet | Factorising Single Brackets Gcse Maths Steps Examples Worksheet |
![]() Factorising Single Brackets Gcse Maths Steps Examples Worksheet | ![]() Factorising Single Brackets Gcse Maths Steps Examples Worksheet | ![]() Factorising Single Brackets Gcse Maths Steps Examples Worksheet |
Factorising Single Brackets Gcse Maths Steps Examples Worksheet | ![]() Factorising Single Brackets Gcse Maths Steps Examples Worksheet | ![]() Factorising Single Brackets Gcse Maths Steps Examples Worksheet |
「Factorise 3(x+y)^2-5(x+y)+2」の画像ギャラリー、詳細は各画像をクリックしてください。
![]() Factorising Single Brackets Gcse Maths Steps Examples Worksheet | ![]() Factorising Single Brackets Gcse Maths Steps Examples Worksheet | ![]() Factorising Single Brackets Gcse Maths Steps Examples Worksheet |
![]() Factorising Single Brackets Gcse Maths Steps Examples Worksheet | ![]() Factorising Single Brackets Gcse Maths Steps Examples Worksheet | ![]() Factorising Single Brackets Gcse Maths Steps Examples Worksheet |
![]() Factorising Single Brackets Gcse Maths Steps Examples Worksheet | ![]() Factorising Single Brackets Gcse Maths Steps Examples Worksheet | ![]() Factorising Single Brackets Gcse Maths Steps Examples Worksheet |
「Factorise 3(x+y)^2-5(x+y)+2」の画像ギャラリー、詳細は各画像をクリックしてください。
Factorising Single Brackets Gcse Maths Steps Examples Worksheet | ![]() Factorising Single Brackets Gcse Maths Steps Examples Worksheet | ![]() Factorising Single Brackets Gcse Maths Steps Examples Worksheet |
Factorising Single Brackets Gcse Maths Steps Examples Worksheet | ![]() Factorising Single Brackets Gcse Maths Steps Examples Worksheet | Factorising Single Brackets Gcse Maths Steps Examples Worksheet |
![]() Factorising Single Brackets Gcse Maths Steps Examples Worksheet | ![]() Factorising Single Brackets Gcse Maths Steps Examples Worksheet | Factorising Single Brackets Gcse Maths Steps Examples Worksheet |
「Factorise 3(x+y)^2-5(x+y)+2」の画像ギャラリー、詳細は各画像をクリックしてください。
![]() Factorising Single Brackets Gcse Maths Steps Examples Worksheet | ![]() Factorising Single Brackets Gcse Maths Steps Examples Worksheet | ![]() Factorising Single Brackets Gcse Maths Steps Examples Worksheet |
![]() Factorising Single Brackets Gcse Maths Steps Examples Worksheet | Factorising Single Brackets Gcse Maths Steps Examples Worksheet | ![]() Factorising Single Brackets Gcse Maths Steps Examples Worksheet |
![]() Factorising Single Brackets Gcse Maths Steps Examples Worksheet | ![]() Factorising Single Brackets Gcse Maths Steps Examples Worksheet | Factorising Single Brackets Gcse Maths Steps Examples Worksheet |
「Factorise 3(x+y)^2-5(x+y)+2」の画像ギャラリー、詳細は各画像をクリックしてください。
![]() Factorising Single Brackets Gcse Maths Steps Examples Worksheet | ![]() Factorising Single Brackets Gcse Maths Steps Examples Worksheet | Factorising Single Brackets Gcse Maths Steps Examples Worksheet |
Factorising Single Brackets Gcse Maths Steps Examples Worksheet | ![]() Factorising Single Brackets Gcse Maths Steps Examples Worksheet | ![]() Factorising Single Brackets Gcse Maths Steps Examples Worksheet |
![]() Factorising Single Brackets Gcse Maths Steps Examples Worksheet | ![]() Factorising Single Brackets Gcse Maths Steps Examples Worksheet | Factorising Single Brackets Gcse Maths Steps Examples Worksheet |
「Factorise 3(x+y)^2-5(x+y)+2」の画像ギャラリー、詳細は各画像をクリックしてください。
![]() Factorising Single Brackets Gcse Maths Steps Examples Worksheet | ![]() Factorising Single Brackets Gcse Maths Steps Examples Worksheet | ![]() Factorising Single Brackets Gcse Maths Steps Examples Worksheet |
![]() Factorising Single Brackets Gcse Maths Steps Examples Worksheet | ![]() Factorising Single Brackets Gcse Maths Steps Examples Worksheet | ![]() Factorising Single Brackets Gcse Maths Steps Examples Worksheet |
![]() Factorising Single Brackets Gcse Maths Steps Examples Worksheet | ![]() Factorising Single Brackets Gcse Maths Steps Examples Worksheet | ![]() Factorising Single Brackets Gcse Maths Steps Examples Worksheet |
「Factorise 3(x+y)^2-5(x+y)+2」の画像ギャラリー、詳細は各画像をクリックしてください。
![]() Factorising Single Brackets Gcse Maths Steps Examples Worksheet | ![]() Factorising Single Brackets Gcse Maths Steps Examples Worksheet | ![]() Factorising Single Brackets Gcse Maths Steps Examples Worksheet |
![]() Factorising Single Brackets Gcse Maths Steps Examples Worksheet | Factorising Single Brackets Gcse Maths Steps Examples Worksheet | ![]() Factorising Single Brackets Gcse Maths Steps Examples Worksheet |
![]() Factorising Single Brackets Gcse Maths Steps Examples Worksheet | ![]() Factorising Single Brackets Gcse Maths Steps Examples Worksheet | Factorising Single Brackets Gcse Maths Steps Examples Worksheet |
「Factorise 3(x+y)^2-5(x+y)+2」の画像ギャラリー、詳細は各画像をクリックしてください。
![]() Factorising Single Brackets Gcse Maths Steps Examples Worksheet | Factorising Single Brackets Gcse Maths Steps Examples Worksheet | ![]() Factorising Single Brackets Gcse Maths Steps Examples Worksheet |
![]() Factorising Single Brackets Gcse Maths Steps Examples Worksheet | Factorising Single Brackets Gcse Maths Steps Examples Worksheet | ![]() Factorising Single Brackets Gcse Maths Steps Examples Worksheet |
![]() Factorising Single Brackets Gcse Maths Steps Examples Worksheet | ![]() Factorising Single Brackets Gcse Maths Steps Examples Worksheet | ![]() Factorising Single Brackets Gcse Maths Steps Examples Worksheet |
「Factorise 3(x+y)^2-5(x+y)+2」の画像ギャラリー、詳細は各画像をクリックしてください。
Factorising Single Brackets Gcse Maths Steps Examples Worksheet | ![]() Factorising Single Brackets Gcse Maths Steps Examples Worksheet | ![]() Factorising Single Brackets Gcse Maths Steps Examples Worksheet |
![]() Factorising Single Brackets Gcse Maths Steps Examples Worksheet | Factorising Single Brackets Gcse Maths Steps Examples Worksheet | ![]() Factorising Single Brackets Gcse Maths Steps Examples Worksheet |
![]() Factorising Single Brackets Gcse Maths Steps Examples Worksheet | ![]() Factorising Single Brackets Gcse Maths Steps Examples Worksheet | ![]() Factorising Single Brackets Gcse Maths Steps Examples Worksheet |
「Factorise 3(x+y)^2-5(x+y)+2」の画像ギャラリー、詳細は各画像をクリックしてください。
![]() Factorising Single Brackets Gcse Maths Steps Examples Worksheet | ![]() Factorising Single Brackets Gcse Maths Steps Examples Worksheet |
Explanation Given x5 −y5 First note that if x = y then x5 − y5 = 0 Hence we can deduce that (x −y) is a factor x5 −y5 = (x − y)(x4 x3y x2y2 xy3 y4) We can factor theSo we use that to break apart our middle term Five Ex wife's where it will become three x y squared close to X y squared So are tryingto Meal is now four terms, and we can apply the
Incoming Term: factorise 3(x+y)^2-5(x+y)+2, factorise 5 x 3 y 2 + 10 x 2 y,















































































0 件のコメント:
コメントを投稿